Как устроены водоотталкивающие покрытия?

Как создать поверхность, которую не намочит ни одна жидкость

Сохранить в закладки
Сохранить в закладки

Как создать поверхность, которую не намочит ни одна жидкость

Молекулы внутри жидкости и на поверхности
Молекулы внутри жидкости и на поверхности
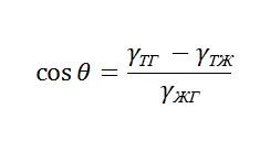
Краевой угол смачивания образуется на границе трех фаз
Краевой угол смачивания образуется на границе трех фаз
FAQ: Как устроены водоотталкивающие покрытия?
смачивание
смачивание
Состояние Венцеля и состояние Касси
Состояние Венцеля и состояние Касси
Двухуровневая шероховатость: на микроструктуру нанесены наноструктуры
Двухуровневая шероховатость: на микроструктуру нанесены наноструктуры
Вода на поверхности лотоса.
Вода на поверхности лотоса.

Над материалом работали