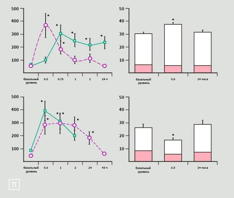
Как стресс влияет на иммунитет

Почему в одном случае стресс «повышает» иммунитет, а в другом «ослабляет» и можно ли на это повлиять

Сохранить в закладки
6 августа 2020
Сохранить в закладки
Андрей Носков для ПостНауки
Андрей Носков для ПостНауки
task-image
При стрессе защитные функции организма могут как активироваться, так и подавляться. А почему, когда человек испытывает сильные эмоции, по его коже могут бежать мурашки?
Мурашки бегут, чтобы поднять шерсть, а значит казаться больше и страшнее!
Мурашки бегут просто так и не выполняют для человека никакой функции
Мурашки бегут, потому что организм так сообщает о внешней угрозе
Мурашки бегут, чтобы тело человека медленнее остывало
mistake
Увы, вы ошиблись...
Узнать больше